pSeven Desktop技術情報コラム第三回(ユーザー様向け)
構築・検証・探索 Part 3:モデルエクスプローラー

構築・検証・探索 Part 2では、モデルバリデーターによる近似モデルのバリデーションと、品質指標に基づいたモデル選択の方法ついて紹介しました。近似モデルを選んだ後は、すぐに実務で使用するか、モデルエクスプローラーでより深く検証していくことになります。モデルエクスプローラーは、作成した近似モデルによる感度分析やwhat-if分析などの検証が可能な対話型の可視化ツールです。
使用例
視覚的に理解するため、よく知られている波紋の関数Z = sin(R)/R(ただしR = (x2+y2)0.5)について考えていきます。DSEブロックのラテン超格子法を使用して100、200、800点のデータサンプルを生成し、このそれぞれについてモデルビルダーで近似モデルを作成しました。
予想通り、非常に荒いものから精密なものまで、異なる精度の近似モデルを得ることができました。


モデルエクスプローラーでは各i, jにおける断面Fi(Xj)を、2次元の直交座表で表示します。断面は方向と原点(選択した断面でのX次元の点)で定義され、デフォルトでは方向は軸と同じになります。原点はモデルリストのすぐ下のスライダーから変更可能で、モデルごとに異なる原点を設定することもできます。
スライダーは対話型機能の代表例です。上下限値はデフォルトではトレーニングサンプルの範囲になっていますが、設定ダイアログから変更することも可能です。
近似の不確実性はプロット上で、エラーバンドとして表示されます。wave 100モデルはトレーニングセットが小さいためエラーバンドが大きいのに対し、wave 800モデルでは非常に不確実性が小さく、近似モデルの形状は元の関数と非常によく一致していることが分かります。
1番下のスライダーでは断面の方向を変える(回転させる)ことができ、さらなる情報が得られます。チェックボックスにチェックを入れた後、座標要素が全て正になる断面方向のセットの中からスライダーで選択するか、任意の方向を設定することで(右下のslice directionのカラムで設定可能)、1つ目の断面が定義されます。それに直交する残りの断面は自動的に生成されます。
プロットにカーソルを合わせると、入力値Xの値や不確実性を含む予測値Yなどの詳細も確認できます。

実務での使用例
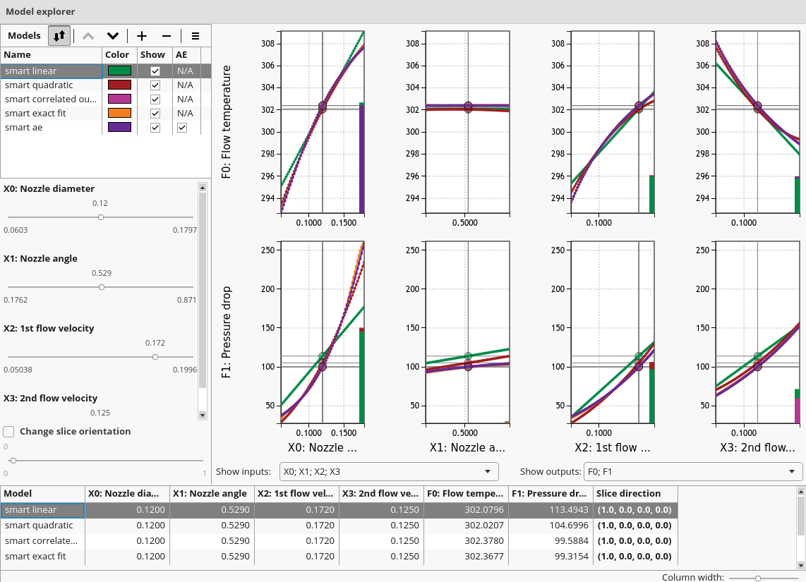
Part 1でもお話しした、スタティックミキサー最適化のサンプルを題材に、モデルエクスプローラーを実務で活用する方法を見ていきます。このサンプルは4つの入力変数(ノズル角度、ノズル径、流速1、流速2)と2つの出力変数(流体温度、圧力損失)を含む、200点のデータからなります。
線形モデル、2次の多項式モデル、トレーニングデータに正確にフィッティングしたモデル、流体温度と圧力損失が相関関係にあると仮定したモデル、精度評価(不確実性の予測)を含むモデル、の異なる5つのモデルを構築し、モデルエクスプローラーで確認します。

まとめ
実務で扱う製品やプロセスのシミュレーションでは計算コストが高い場合が多くありますが、近似モデルへの置き換えにより効率的な評価が可能になります。モデルエクスプローラーにより、このような近似モデルを使った分析を簡単に、かつ対話的に行えるようになります。

最適化/機械学習による設計空間探索ソフトウエア pSeven Desktop
pSeven Desktopであらゆる設計リードタイムを短縮。煩わしい作業を削減し、CAD・CAE・データとプロセスを自動化します。pSeven Desktop独自のAIと強力な自動化エンジンによって、最適な設計条件を効率的に発見が可能です。
